@media screen and (max-width: 749px) { .feature-row__text { padding: 24px 0 0 0px; } ul.ai-check-list__items-au2xenw5gs1hadfhuaaigenblock4f1a824wgqkni, ul.ai-check-list__items-awlnlnvu1rglddwwzdaigenblock4f1a824jeegvt, ul.ai-check-list__items-aaxply08rm0vrwwv4maigenblock4f1a824dmzgdr {padding-left: 20px !important; margin-bottom: 0 !important;} }

The Science of Driving Ergonomics for Trucks & SUVs

Modern trucks and SUVs are more capable, more powerful, and more technologically advanced than ever before. But one thing hasn’t kept pace: seating ergonomics.

Many drivers report leg numbness, lower back fatigue, hamstring tightness, and hip discomfort — especially on longer drives. These symptoms are often blamed on “bad backs” or long commutes. In reality, they are frequently linked to seat geometry.

This guide explains the biomechanics behind truck seat discomfort, why factory seats are designed the way they are, and how seat angle influences posture, muscle tension, and nerve compression.

This is not a sales page. It is an educational breakdown of the problem — and the available solutions.

Why Factory Truck Seats Are Designed the Way They Are

Before criticizing OEM seat design, it’s important to understand the constraints manufacturers operate under.

Vehicle seat geometry is influenced by:

  • Crash safety regulations (Federal Motor Vehicle Safety Standard (FMVSS 207 of the National Highway Traffic Safety Administration 2023) [1]
  • Airbag deployment positioning requirements (Reed, M. P., Manary, M. A., & Schneider, L. W. 2002) [2]
  • Visibility standards and sightline regulations [2]
  • Cost constraints across high production volumes
  • Anthropometric averages (designing for the “50th percentile” occupant) [2]

Most automotive seats are engineered to accommodate a broad population range. Designers rely on anthropometric data sets (such as SAE J826 seating reference point standards) to determine seat height, angle, and steering wheel relationship. (J826_202106 - Devices for Use in Defining and Measuring Vehicle Seating Accommodation Quality, Testing and Safety Vehicle Systems and Performance, 2021) [3]

However, designing for the statistical average often means designing for no one perfectly.

Common Characteristics of Truck Seat Geometry

Compared to sedans, trucks and SUVs typically have:

  • Higher hip points (H-point elevation)
  • More upright windshield angles
  • Taller cabin structures
  • Greater floor-to-seat height differences

To maintain sightlines and crash compliance, many truck seats incorporate a rearward seat pan rake (downward slope toward the rear). This means the front of the seat pan often sits lower relative to the rear. (Gao, Kaizhan & Du, Jie & Ding, Rongzhi & Zhang, Zhifei. 2022). [10]

Diagram 1: Side profile illustration of truck seat pan showing rearward rake angle

Diagram 1: Side profile illustration of truck seat pan showing rearward rake angle

What Seat Pan Angle Does to Your Body

Seat pan angle plays a significant role in lower body posture and muscle loading.

In seated biomechanics research, the orientation of the pelvis and femur significantly influences spinal curvature and muscular tension. (Halek, R. , Dev, A. , Chew, K. and Hannan, M., 2024) [11]

When the front of the seat pan is relatively low:

  • The pelvis can rotate posteriorly (posterior pelvic tilt)
  • Lumbar lordosis may decrease
  • Hamstrings may remain under mild tension
  • Body weight distribution shifts rearward

When the front of the seat pan is raised moderately:

  • The thighs receive more uniform support
  • Pelvic tilt may reduce
  • Load distribution across the ischial tuberosities changes

Pressure Distribution

Seating studies show that pressure concentration under the ischial tuberosities (sit bones) can contribute to discomfort over time. (Okunribido, O. O., & Magnusson, M., 2018) [4]

Altering seat pan angle changes how body mass is distributed between:

  • Ischial tuberosities
  • Posterior thighs
  • Lower back support structures
Diagram 2: Seat pressure mapping

Diagram 2: Seat pressure mapping

Pelvic Tilt and Lumbar Load

The pelvis is the foundation of seated spinal posture.

A posterior pelvic tilt (where the top of the pelvis rotates backward) tends to flatten lumbar lordosis (the natural inward curve of the lower spine). (Nachemson, A., 1976). [6]

Reduced lumbar curvature is associated with increased intervertebral disc pressure in some seated conditions. (Callaghan, J. P., & McGill, S. M., 2001) [6]

In occupational ergonomics research, seated posture significantly influences lumbar load and fatigue development over time. (Huang, Y., et al., 2021). [5]

Truck seats with insufficient anterior thigh support may encourage posterior pelvic tilt, particularly in taller drivers whose femur length exceeds the seat pan support length.

Why This Matters

Over extended drives, altered pelvic alignment can contribute to:

  • Lower back fatigue
  • Paraspinal muscle tension
  • Reduced spinal endurance

These effects are magnified when vibration is added — which is common in truck and off-road driving. (Bovenzi, M., & Hulshof, C. T. J., 1999) [7]

Diagram 3: Pelvic tilt comparison

Diagram 3: Pelvic tilt comparison

Hamstring Tension and Sciatic Nerve Compression

The hamstrings originate at the ischial tuberosities and cross both the hip and knee joints. When seated with hips flexed and knees bent, hamstrings are placed in a shortened but tensioned position depending on seat height and angle.

If the seat pan does not adequately support the posterior thigh:

  • The distal femur may bear more localized pressure
  • Hamstrings may remain under mild tension
  • Tissue loading may increase near the gluteal region

The sciatic nerve runs beneath the gluteal musculature and down the posterior thigh. Prolonged seated compression in this region has been associated with paresthesia (numbness or tingling) in some individuals. (Zemp, R., Taylor, W. R., & Lorenzetti, S., 2016) [8]

While seat angle alone does not cause sciatica, prolonged pressure and poor thigh support may contribute to transient numbness symptoms in susceptible individuals.

Diagram 4: Posterior thigh anatomy highlighting hamstrings and sciatic nerve pathway.

Diagram 4: Posterior thigh anatomy highlighting hamstrings and sciatic nerve pathway.

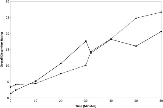
Why Long Road Trips Amplify the Issue

Short drives rarely reveal ergonomic problems.

Long-duration sitting, however, exposes them.

Research in occupational ergonomics shows that static seated postures sustained for extended periods are associated with increased discomfort and fatigue development. [8]

Contributing factors during long drives include:

  • Reduced movement variability
  • Whole-body vibration exposure
  • Limited opportunity for postural reset
  • Sustained hip flexion angles

Truck drivers and long-distance commuters often experience symptom escalation after 90+ minutes of continuous sitting.

Even small geometric adjustments — such as modest seat pan angle changes — can alter muscle activation patterns and load distribution.

Graph: Time vs. reported discomfort escalation during prolonged sitting

Graph: Time vs. reported discomfort escalation during prolonged sitting

Before and After Seat Angle Measurements

To understand the mechanical change involved in seat angle correction, angle measurements can be taken using a digital inclinometer.

Example measurement process:

  1. Place inclinometer along the seat pan surface.
  2. Record angle relative to horizontal.
  3. Install front seat spacers or angle adjustment mechanism.
  4. Re-measure.

Before Seat Jackers
Tacoma OEM seat pan angle measurement: -7°

After Seat Jackers
Tacoma Post-Adjustment seat pan angle measurement: -17°

In one measured example (First Gen Tacoma video reference):

  • Pre-adjustment angle: approximately 7° rearward rake
  • Post-adjustment angle: approximately 17° rearward rake
Diagram 5: Side-by-side angle comparison OEM seat pan vs installed Seat Jackers

Diagram 5: Side-by-side angle comparison OEM seat pan vs installed Seat Jackers

Comparison of Solutions

Drivers experiencing discomfort generally consider several categories of solutions:

1. Seat Cushions

Pros:

  • Low cost
  • Non-permanent
  • Easily removable

Cons:

  • Can increase seat height excessively
  • May alter airbag positioning geometry
  • Often compress over time
  • Do not change structural seat angle

2. Lumbar Support Add-Ons

Pros:

  • Improve lower back contour support
  • Adjustable in some cases

Cons:

  • Do not address thigh support
  • Do not alter pelvic base orientation

3. Aftermarket Seat Replacement (e.g. Desert Does It Seat Jackers)

Pros:

  • Fully redesigned geometry
  • Performance-oriented bolstering

Cons:

  • High cost
  • Installation complexity
  • Airbag compatibility considerations
  • May alter crash-tested configuration

4. Seat Angle Adjustment (Front Elevation)

Pros:

  • Targets seat pan geometry directly
  • Retains factory seat
  • Typically modest geometric change

Cons:

  • May not address lumbar issues
  • Not appropriate for all body types
  • Must maintain safe bolt torque and structural integrity

Who Benefits Most From Angle Correction

Seat angle modification may benefit:

  • Taller drivers with longer femur length
  • Drivers reporting posterior thigh numbness
  • Drivers experiencing leg fatigue on long drives
  • Overlanders or commuters driving 1+ hour durations

Anthropometric variability plays a major role. Individuals above the 75th percentile for height may experience less complete thigh support in fixed-length seat pans. (Okunribido, O. O., & Magnusson, M., 2018) [4]

Drivers who already experience comfortable posture in stock configuration may not benefit.

This is not a universal fix. It is a geometric adjustment that benefits specific body types and symptom patterns.

When Angle Correction Is NOT the Right Solution

Angle correction may not be appropriate if:

  • The primary issue is lumbar disc pathology requiring medical care
  • Symptoms are radiating below the knee with neurological deficits
  • There is diagnosed spinal instability
  • The driver prefers a flatter seat geometry
  • Airbag system modifications would be compromised

No seating modification should replace professional medical evaluation for persistent pain.

Drivers experiencing chronic or severe symptoms should consult a healthcare provider before modifying vehicle ergonomics.

Frequently Asked Questions

Trucks often have higher seating positions and different floor geometries, which can influence hip angle and thigh support. Differences in seat pan rake may contribute to perceived discomfort.

In some individuals, modest front elevation may improve thigh support and influence pelvic alignment. However, outcomes vary based on body type and underlying conditions.

Prolonged seated compression in the posterior thigh region has been associated with transient numbness in occupational health literature. Seat geometry can influence pressure distribution. 

Any modification must maintain factory mounting integrity and torque specifications. Airbag performance depends on multiple factors, including seat position and occupant posture.

Both alter seating geometry in different ways. Cushions raise overall height and may alter occupant positioning relative to airbags. Structural modifications must follow proper safety procedures.

Conclusion

Driving discomfort in trucks and SUVs is rarely random.

It is often geometric.

Seat pan angle influences pelvic alignment, thigh support, pressure distribution, and muscular loading. Over long drives, even small misalignments can compound into fatigue, numbness, or back strain.

Factory seats are designed within safety and cost constraints — not custom-tailored to individual body types.

Understanding the biomechanics behind discomfort allows drivers to evaluate solutions intelligently — whether that means posture adjustments, lumbar modifications, full seat replacement, or modest seat angle correction.

The goal is not modification for its own sake.

The goal is structural alignment that supports long-duration comfort without compromising safety.

SOURCES: Citation List for The Science of Driving Ergonomics for Trucks & SUVs

[1] Vehicle Seat Design Constraints & Safety Standards

Federal Motor Vehicle Safety Standard (FMVSS 207)
National Highway Traffic Safety Administration. (2023). 49 CFR § 571.207 – Seating systems. Electronic Code of Federal Regulations. https://www.ecfr.gov/current/title-49/subtitle-B/chapter-V/part-571/subpart-B/section-571.207

“Federal Motor Vehicle Safety Standard 207 specifies that seating systems must withstand specific forces and structural loads in both forward and rearward directions to meet crashworthiness requirements. These structural requirements influence seat geometry and adjustment mechanisms in trucks and SUVs.”

[2] Anthropometry & H-Point Standards

Reed, M. P., Manary, M. A., & Schneider, L. W. (2002). Methods for measuring and representing automobile occupant posture. SAE Technical Paper 2002-01-0959. SAE International. https://doi.org/10.4271/2002-01-0959

Society of Automotive Engineers. (2019). SAE J826 – Devices for use in defining and measuring vehicle seating accommodation. SAE International.

Use for: Explaining H-point, seating reference points, and anthropometric design targets.

[3] J826_202106 - Devices for Use in Defining and Measuring Vehicle Seating Accommodation

Quality, Testing and Safety Vehicle Systems and Performance (2021). https://dn790000.ca.archive.org/0/items/gov.law.sae.j826.1995/sae.j826.1995.pdf

[4] Seat Geometry & Ergonomic Mismatch

Okunribido, O. O., & Magnusson, M. (2018). Ergonomic mismatch between anthropometry and seat dimensions in truck drivers. Journal of Occupational Health, 60(1), 64–74. https://doi.org/10.1539/joh.17-0187-OA

[5] Seat Pan Angle & Pelvic Orientation

Huang, Y., et al. (2021). The effect of seat pan and pelvis angles on occupant kinematics in a reclined seating position. PLOS ONE, 16(9), e0257292. https://doi.org/10.1371/journal.pone.0257292

Grebonval, F., et al. (2021). Influence of seat pan angle on pelvis orientation and perceived comfort. Proceedings of the Comfort Congress 2021. Ergonomics Society.

Use for: Supporting the claim that seat pan angle changes pelvic orientation and occupant biomechanics.

[6] Lumbar Load & Seated Posture

Nachemson, A. (1976). The lumbar spine: An orthopaedic challenge. Spine, 1(1), 59–71.

Callaghan, J. P., & McGill, S. M. (2001). Low back joint loading and kinematics during standing and unsupported sitting. Ergonomics, 44(3), 280–294. https://doi.org/10.1080/00140130120228

Use for: Supporting statements about lumbar disc pressure and spinal loading in seated postures.

[7] Whole Body Vibration & Prolonged Sitting

Bovenzi, M., & Hulshof, C. T. J. (1999). An updated review of epidemiologic studies on the relationship between exposure to whole-body vibration and low back pain. International Archives of Occupational and Environmental Health, 72(6), 351–365. https://doi.org/10.1007/s004200050387

Griffin, M. J. (1990). Handbook of Human Vibration. Academic Press.

Mansfield, N., Sammonds, G., Nguyen, L. (2015). Driver discomfort in vehicle seats – Effect of changing road conditions and seat foam composition. Applied Ergonomics, Volume 50, Pages 153-159, ISSN 0003-6870, https://doi.org/10.1016/j.apergo.2015.03.010.

Use for: Explaining why truck vibration may amplify discomfort over time.

[8] Whole Body Vibration & Prolonged Sitting

Zemp, R., Taylor, W. R., & Lorenzetti, S. (2016). Seat pan and backrest pressure distribution while sitting in automotive seats. Applied Ergonomics, 53, 1–9. https://doi.org/10.1016/j.apergo.2015.08.007

Kolich, M. (2008). Automobile seat comfort: Occupant preferences vs. anthropometric accommodation. Applied Ergonomics, 39(6), 746–759. https://doi.org/10.1016/j.apergo.2008.02.002

Use for: Supporting claims about pressure distribution and perceived comfort.

[9] Sciatic Nerve Compression & Seated Posture

Rydevik, B., et al. (1984). Effects of compression on intraneural blood flow. Journal of Bone and Joint Surgery, 66(3), 372–377.

Rempel, D. M., et al. (1999). The effects of static loading on peripheral nerves. Journal of Orthopaedic Research, 17(6), 912–918. https://doi.org/10.1002/jor.1100170616

Use for: Carefully explaining how prolonged seated compression may contribute to numbness symptoms.

[10] Lumbar spinal loads and lumbar muscle forces

Gao, Kaizhan & Du, Jie & Ding, Rongzhi & Zhang, Zhifei. (2022). Lumbar spinal loads and lumbar muscle forces evaluation with various lumbar supports and backrest inclination angles in driving posture. European Spine Journal. 32. 1-12. 10.1007/s00586-022-07446-x.

[11] Back Pain and Posture

Halek, R. , Dev, A. , Chew, K. and Hannan, M. (2024) Conceptual Analysis of Lower Back Pain Resulting from Awkward Sitting Posture in Driver Vehicle Seat—Systematic Review and Surveys. Open Journal of Safety Science and Technology, 14, 75-85. doi: 10.4236/ojsst.2024.143006.